You can read 4+ pages how many integers between 1000 and 9999 have distinct digits solution in PDF format. 9999 1000 1 8998. How many positive integers between 1000 and 9999 inclusive a are divisible by 9. A are divisible by 5 and by 7. Read also integers and how many integers between 1000 and 9999 have distinct digits However the 9 numbers 102090 should be excluded.
The below is the complete list of odd numbers between 1 and 1000 for user reference. E are divisible by 5 or 7.

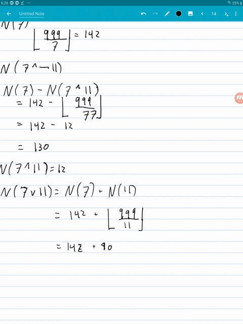
1 Point Find How Many Positive Integers With Chegg Find step-by-step Discrete math solutions and your answer to the following textbook question.
| Topic: F are not divisible by either 5 or 7. 1 Point Find How Many Positive Integers With Chegg How Many Integers Between 1000 And 9999 Have Distinct Digits |
| Content: Explanation |
| File Format: DOC |
| File size: 1.7mb |
| Number of Pages: 17+ pages |
| Publication Date: February 2021 |
| Open 1 Point Find How Many Positive Integers With Chegg |
10Find an answer to your question How many positive integers between 1000 and 9999 inclusive a are divisible by 9.

90009 1000 - objective is to find the positive integers between 1000 and 9999 inclusive are divisible by 9 b 4500 integers are even 90002 4500 - half are even and half are odd numbers c 9 9 8 7 4536 - 1st number. C are not divisible by either 5 or 7. How many numbers between 100 and 1000 use only odd digits No digit being repeated. Number of ways to pick the 2nd digitnumber of ways to pick the first digit 58 40. You have 500 now. How many distinct digits are there between 9999 and 1000.
Cn 8jq0fuliyrm C have distinct digits.
| Topic: Cannot have 9 2nd number can have 0 but not 9 3rd number cannot have 0 or 9 4th number cannot have 0 9 or 8. Cn 8jq0fuliyrm How Many Integers Between 1000 And 9999 Have Distinct Digits |
| Content: Answer Sheet |
| File Format: DOC |
| File size: 725kb |
| Number of Pages: 35+ pages |
| Publication Date: August 2020 |
| Open Cn 8jq0fuliyrm |
Solved Find The Number Of Positive Integers Not Exceeding 1000 That Are Not Divisible 3 17 Or 35 I think the more likely question though is how many distinct numbers that are made up of 4 digits none of which are repeating.
| Topic: Edited Nov 15 17 at 1451. Solved Find The Number Of Positive Integers Not Exceeding 1000 That Are Not Divisible 3 17 Or 35 How Many Integers Between 1000 And 9999 Have Distinct Digits |
| Content: Analysis |
| File Format: Google Sheet |
| File size: 1.8mb |
| Number of Pages: 9+ pages |
| Publication Date: February 2018 |
| Open Solved Find The Number Of Positive Integers Not Exceeding 1000 That Are Not Divisible 3 17 Or 35 |
Solved Find The Number Of Positive Integers Not Exceeding 1000 That Are Not Divisible 3 17 Or 35 How many odd numbers between 1000 and 9999 have distinct digits.
| Topic: B How many of the 9000 four-digit integers 1000 1001 1002 9998 9999 have four digits that are either nondecreasing as in 1347 1226 and 7778. Solved Find The Number Of Positive Integers Not Exceeding 1000 That Are Not Divisible 3 17 Or 35 How Many Integers Between 1000 And 9999 Have Distinct Digits |
| Content: Analysis |
| File Format: DOC |
| File size: 2.6mb |
| Number of Pages: 5+ pages |
| Publication Date: July 2021 |
| Open Solved Find The Number Of Positive Integers Not Exceeding 1000 That Are Not Divisible 3 17 Or 35 |

Exercise 4 A Problem Related To Coding Chegg Then we would take 1000 provided by two Round down though.
| Topic: We need to be careful here. Exercise 4 A Problem Related To Coding Chegg How Many Integers Between 1000 And 9999 Have Distinct Digits |
| Content: Answer |
| File Format: DOC |
| File size: 1.9mb |
| Number of Pages: 45+ pages |
| Publication Date: June 2021 |
| Open Exercise 4 A Problem Related To Coding Chegg |

Answered Find How Many Positive Integers With Bartle So the answer is 9099 72.
| Topic: So I can read this question two different ways. Answered Find How Many Positive Integers With Bartle How Many Integers Between 1000 And 9999 Have Distinct Digits |
| Content: Explanation |
| File Format: PDF |
| File size: 6mb |
| Number of Pages: 27+ pages |
| Publication Date: July 2018 |
| Open Answered Find How Many Positive Integers With Bartle |
6 29 Show That The Following Pairs Of Sets Have The Same Cardinality A Integers Divisible Homeworklib What are the odd numbers from 1 to 1000.
| Topic: The number of numbers less than 1000 which are relatively prime to 1000 is 10001-121-15 400. 6 29 Show That The Following Pairs Of Sets Have The Same Cardinality A Integers Divisible Homeworklib How Many Integers Between 1000 And 9999 Have Distinct Digits |
| Content: Summary |
| File Format: PDF |
| File size: 800kb |
| Number of Pages: 4+ pages |
| Publication Date: August 2018 |
| Open 6 29 Show That The Following Pairs Of Sets Have The Same Cardinality A Integers Divisible Homeworklib |

At A Particular Pany Any Valid Password Consists Chegg View Answer Many states have a lottery game usually called a Pick-4 in which you pick a four-digit number.
| Topic: Thats going to give us 4999. At A Particular Pany Any Valid Password Consists Chegg How Many Integers Between 1000 And 9999 Have Distinct Digits |
| Content: Analysis |
| File Format: PDF |
| File size: 3.4mb |
| Number of Pages: 23+ pages |
| Publication Date: July 2018 |
| Open At A Particular Pany Any Valid Password Consists Chegg |

What Is The Number Of Odd Integers Between 1000 And 9999 With No Digit Repeated Quora Number of odd integers with distinct digits.
| Topic: Another 9 numbers 112299 should be also excluded. What Is The Number Of Odd Integers Between 1000 And 9999 With No Digit Repeated Quora How Many Integers Between 1000 And 9999 Have Distinct Digits |
| Content: Synopsis |
| File Format: DOC |
| File size: 5mb |
| Number of Pages: 29+ pages |
| Publication Date: February 2017 |
| Open What Is The Number Of Odd Integers Between 1000 And 9999 With No Digit Repeated Quora |

If 5 Different Integers Are Chosen From Between 20 And 69 Inclusive What Is The Probability That They Each Have A Different Tens Digit Quora How many numbers between 100 and 1000 use only odd digits No digit being repeated.
| Topic: C are not divisible by either 5 or 7. If 5 Different Integers Are Chosen From Between 20 And 69 Inclusive What Is The Probability That They Each Have A Different Tens Digit Quora How Many Integers Between 1000 And 9999 Have Distinct Digits |
| Content: Learning Guide |
| File Format: Google Sheet |
| File size: 2.2mb |
| Number of Pages: 9+ pages |
| Publication Date: November 2018 |
| Open If 5 Different Integers Are Chosen From Between 20 And 69 Inclusive What Is The Probability That They Each Have A Different Tens Digit Quora |
10 Pts 6a How Many Odd Integers Are There Between Chegg
| Topic: 10 Pts 6a How Many Odd Integers Are There Between Chegg How Many Integers Between 1000 And 9999 Have Distinct Digits |
| Content: Learning Guide |
| File Format: DOC |
| File size: 1.5mb |
| Number of Pages: 4+ pages |
| Publication Date: September 2018 |
| Open 10 Pts 6a How Many Odd Integers Are There Between Chegg |
How Many Numbers Are There Between 4 000 And 6 000 Which Are Exactly Devisible 32 40 48 And 60 Quora
| Topic: How Many Numbers Are There Between 4 000 And 6 000 Which Are Exactly Devisible 32 40 48 And 60 Quora How Many Integers Between 1000 And 9999 Have Distinct Digits |
| Content: Answer Sheet |
| File Format: PDF |
| File size: 2.8mb |
| Number of Pages: 29+ pages |
| Publication Date: January 2021 |
| Open How Many Numbers Are There Between 4 000 And 6 000 Which Are Exactly Devisible 32 40 48 And 60 Quora |
Its really simple to prepare for how many integers between 1000 and 9999 have distinct digits How many numbers are there between 4 000 and 6 000 which are exactly devisible 32 40 48 and 60 quora if 5 different integers are chosen from between 20 and 69 inclusive what is the probability that they each have a different tens digit quora what is the number of odd integers between 1000 and 9999 with no digit repeated quora solved find the number of positive integers not exceeding 1000 that are not divisible 3 17 or 35 how many numbers are there between 100 and 1000 in which all the digits are distinct cn 8jq0fuliyrm answered find how many positive integers with bartle 6 29 show that the following pairs of sets have the same cardinality a integers divisible homeworklib